4604
Longitudinal Assessment of Third Trimester Regional Cerebral Blood Flow in Very Preterm Infants
Zungho Zun1,2,3,4, Kushal Kapse1, Marni Jacobs3,5, Sudeepta Basu3,6, Mariam Said3,6, Nicole Andersen1, Jonathan Murnick1,3,4, Taeun Chang3,7,8, Adre du Plessis2,3, and Catherine Limperopoulos1,2,3,4
1Division of Diagnostic Imaging and Radiology, Children's National Hospital, Washington, DC, United States, 2Division of Fetal and Transitional Medicine, Children’s National Hospital, Washington, DC, United States, 3Department of Pediatrics, George Washington University, Washington, DC, United States, 4Department of Radiology, George Washington University, Washington, DC, United States, 5Division of Biostatistics and Study Methodology, Children's National Hospital, Washington, DC, United States, 6Division of Neonatology, Children's National Hospital, Washington, DC, United States, 7Division of Neurology, Children's National Hospital, Washington, DC, United States, 8Department of Neurology, George Washington University, Washington, DC, United States
Cerebral blood flow (CBF) of preterm infants significantly increased over the third trimester of extra-uterine life, most prominently in the cerebellum. Lower CBF was associated with intraventricular hemorrhage and patent ductus arteriosus.
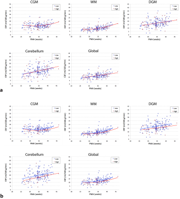
Figure 3. (a) Regional/global CBF measured in preterm infants with low and high parenchymal abnormality scores. There were no significant differences in CBF between the two groups in all regions. (b) Regional/global CBF measured in preterm infants with low and high grades of IVH. In all regions, CBF of preterm infants with high grade of IVH was lower compared to those with low grade of IVH.
Figure 1. Representative images of the preterm brain. Left: T2-weighted anatomical images showing excellent contrast between different brain regions as well as brain injury such as dilated ventricles (arrows) and IVH (arrowheads). Middle: Brain segmentation laid on anatomical images showing successful delineation of the brain regions. Right: ASL images registered to the anatomical images demonstrating high perfusion signal in the gray matter.